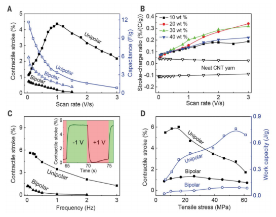
成功制造出更快、更有力、更大運動幅度的人造肌肉將擴大其應用范圍。電化學碳納米管紗線肌肉由于其相對較高的能量轉換效率而引起了人們特別關注。然而,它們是雙極性的,這意味著它們不會在可用的電位范圍內單調地擴展或收縮。這限制了肌肉沖程和工作能力。
在此,本文描述了單極沖程碳納米管紗線肌肉,其中肌肉沖程在極端電位之間的變化是累加的,隨著電位掃描速率的增加,肌肉沖程大幅增加。隨著掃描速率的增加,有效離子尺寸的顯著增加超過了正常沖程減少。單極肌肉實現了增強的肌肉沖程、每周期收縮功、收縮功率密度和能量轉換效率。

Fig. 1 單極和雙極肌肉的比較。

Fig. 2 掃描速率增強的PSS @ CNT單極肌肉的沖程。

Fig. 3 其他單極肌肉。
相關研究成果于2021年由德州大學Ray H. Baughman課題組,發表在Science(DOI: 10.1126/science.abc4538)上。原文:Unipolar stroke, electroosmotic pump carbon nanotube yarn muscles。
轉自《石墨烯雜志》公眾號