晶格中電子的能量帶寬低于長程庫侖相互作用能時,可促進相關效應。莫爾超晶格(通過控制扭曲角度堆疊的范德華異質結構創建)使電子能帶結構的工程化成為可能。奇異的量子相可以出現在經過設計的莫爾條紋平坦帶中。最近在魔角扭曲雙層石墨烯的平坦帶中發現了相關的絕緣子態,超導性和量子異常霍爾效應,這激發了對其他莫爾系統中相關電子態的探索。通過調整層間耦合或組成層的能帶結構,可以進一步調整范德華·莫爾超晶格的電子性質。在這里,我們利用扭曲的雙層石墨烯(TDBG)的范德華力異質結構,展示了一個平坦的電子帶,該帶可通過在扭曲角范圍內的垂直電場進行調諧。與魔角扭曲的雙層石墨烯類似,TDBG在半填充和四分之一填充的平帶處顯示能量缺口,表明出現了相關絕緣子態。結果表明,這些絕緣子態的間隙隨著面內磁場的增大而增大,呈鐵磁級數。在摻雜半填充絕緣子時,電阻率隨溫度降低而突然下降。這種臨界行為僅限于密度電場平面的一個小區域,并歸因于從普通金屬到自旋極化相關狀態的相變。電場可調TDBG中自旋極化相關態的發現,為互驅動量子相的工程研究提供了一條新的途徑。

Fig. 1 θ= 1.33°樣品中的能帶結構和絕緣狀態。

Fig. 2 相關絕緣子態的自旋極化。

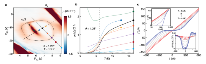
Fig. 3 θ= 1.26°樣品中的臨界轉變行為。

Fig. 4可調柵平帶和一系列扭轉角的臨界特性。
相關研究成果與2020年由哈佛大學Philip Kim課題組,發表在Nature(https://doi.org/10.1038/s41586-020-2458-7)上。原文:Tunable spin-polarized correlated states in twisted double bilayer graphene。
摘自《石墨烯雜志》公眾號: