我們研究了扭曲的兩層雙層石墨烯(TDBG),它是由兩個AB堆疊的雙層石墨烯相對于彼此旋轉一個小角度組成的四層系統。我們的ab initio帶結構計算顯示,在我們分配給本征對稱極化(ISP)的電荷中性點處,存在相當大的能隙。 然后,我們將ISP效應引入到緊密綁定參數化中,并對TDBG模型執行計算,該模型包括低至非常小的扭曲角的晶格弛豫效應。我們確定了圍繞魔角的一個狹窄區域,該區域的特征是即使在沒有外部電場的情況下,也能從其他狀態中漏出許多明顯平坦的帶。為了了解TDBG中魔角的基本來源,我們構建了一個連續模型,該模型指向與扭曲的雙層石墨烯模型隱藏的數學鏈接,從而表明能帶平坦化是TDBG的基本特征,而不是外磁場的結果。

Figure 1. (a)構型示意圖。(b)θ=21.8°(m=1)TDBG的倒數晶格(黑點)和微型布里淵區(灰色六邊形)。

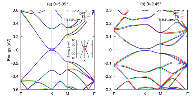
Figure 2. 使用DFT計算的(a)θ=5.09°和(b)θ=2.45° TDBG模型的能帶結構,考慮到緊密結合模型(TB)和固有極化效應的緊密結合模型(TB+ISP)

Figure 3. 使用TB+ISP模型計算的(a)θ=2.54°和(b)θ=1.30°的剛性和松弛TDBG的能帶結構。(c-e)帶隙Δ
gap、Δ
e和Δ
h分別取決于(f)帶寬E
W和(g)扭轉角θ上Γ點間隙Δ
Γ

Figure 4. 從具有晶格弛豫和ISP效應的緊密結合模型(上排)和最小連續模型(下排)獲得的魔角θ
★=1.30°及其附近的TDBG的能帶結構。
相關研究成果于2020年由洛桑聯邦理工學院的QuanSheng Wu和Oleg V. Yazyev課題組,哈佛大學的Alex J. Kruchkov課題組,發表在Nano Lett.(doi.org/10.1021/acs.nanolett.9b05117)上。原文:Moire? Flat Bands in Twisted Double Bilayer Graphene。
摘自《石墨烯雜志》公眾號: